Continuité pédagogique de la classe de 4e 7
Mardi 30 Juin (page 1)
Bonjour,
Je vous dépose en page 2 la correction de la fiche-méthode sur l'écriture d'une équation-bilan. Je vous demande ensuite un dernier effort pour faire ce petit devoir sur les équations (page 1). Je vous déposerai la correction en fin de semaine.
Posted by idelaborie
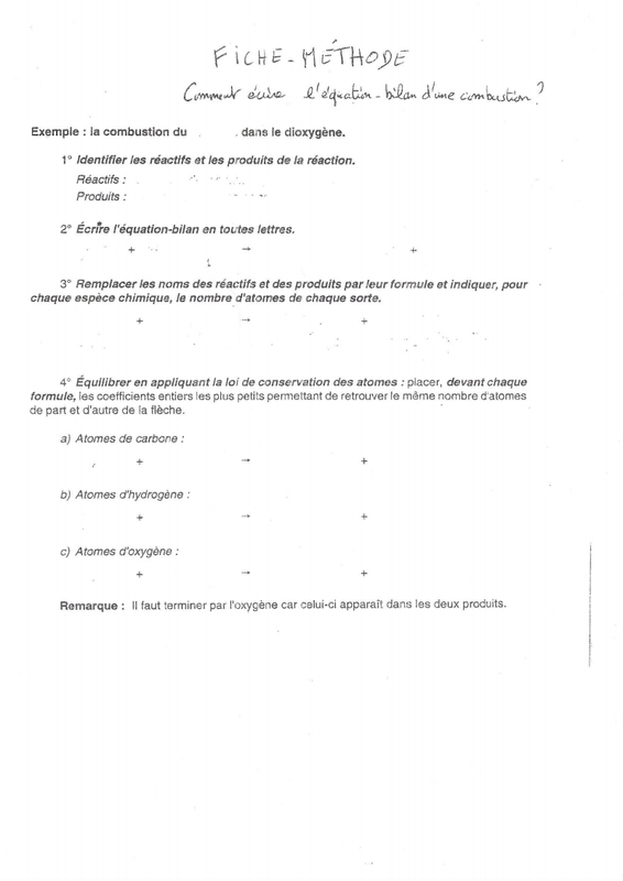
Mardi 30 Juin (page 2)
Voici la correction de la fiche-méthode "Comment écrire l'équation-bilan d'une combustion ?"
Posted by idelaborie
Dimanche 28 Juin
Bonjour
J'ai oublié de vous déposer la correction du QCM lundi 22. Je le fais donc aujourd'hui.
Bonne journée.
Posted by idelaborie
Mardi 23 Juin (page 1)
Bonjour
Je vous dépose la suite du cours sur la transformation chimique. Les consignes du travail que vous aurez à faire pour la semaine prochaine sont indiquées sur cette fiche de cours. Les deux fiches à remplir sont sur les pages 2 et 3.
Bonne semaine.
Madame de Laborie.
Posted by idelaborie
Mardi 23 Juin (page 2)
Fiche sur la combustion du méthane à remplir.
Posted by idelaborie
Mardi 23 Juin (page 3)
Fiche-méthode : "Comment écrire l'équation-bilan d'une combustion ?"
Posted by idelaborie
Mercredi 17 Juin
Bonjour,
Désolée pour le retard de la fin du cours de chimie. Je vous demande de recopier et d'apprendre la partie du cours sur les atomes pour le 23 Juin.
Bonne semaine.

Madame de Laborie.
Posted by idelaborie
Mardi 16 Juin (page 1)
Bonjour
Je vous dépose la correction du tableau que vous aviez à faire. Je vous demande de recopier la correction puis de noter le paragraphe de cours de la page 2 avec la définition de la transformation chimique. Pour le 19 Juin, vous devez faire le QCM et me le renvoyer (voir page 3).
La suite du cours de chimie sera déposée cet après-midi.

Bonne journée.

Madame de Laborie.
Posted by idelaborie
Mardi 16 Juin (page 2)
Voici le paragraphe de cours à recopier sous la correction du tableau ci-dessus.
Posted by idelaborie
Mardi 16 Juin (page 3)
Voici la version pdf que QCM sur le son que vous devez me renvoyer dans mon CASIER ENT ET non sur ma boîte mail pour le vendredi 19 Juin. Je vous envoie également la version Word que vous pourrez compléter directement sur votre boîte mail à renvoyer dans mon CASIER ENT.

Posted by idelaborie